Max Points on a Line
Given n points on a 2D plane, find the maximum number of points that lie on the same straight line.
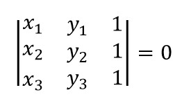
判断三点共线有三种方法,斜率法,周长法,面积法。而其中通过判断叉积为零的面积法是最好的!
$$(y3 - y1)/(x3 - x1) =(y2 - y1)/(x2 - x1) $$

note: duplicate points !
public class Solution {
public int maxPoints(Point[] points) {
int res = 0, n = points.length;
for (int i = 0; i < n; ++i) {
int duplicate = 1;
for (int j = i + 1; j < n; ++j) {
int cnt = 0;
long x1 = points[i].x, y1 = points[i].y;
long x2 = points[j].x, y2 = points[j].y;
if (x1 == x2 && y1 == y2) {++duplicate;continue;}
for (int k = 0; k < n; ++k) {
int x3 = points[k].x, y3 = points[k].y;
if (x1*y2 + x2*y3 + x3*y1 - x3*y2 - x2*y1 - x1 * y3 == 0) {
++cnt;
}
}
res = Math.max(res, cnt);
}
res = Math.max(res, duplicate);
}
return res;
}
}